公告!90套!事关肥城公共租赁住房分配
大众报业·齐鲁壹点 11-11 1279

近日,肥城市人民政府网站发布2025年肥城市公共租赁住房分配申请公告,详情如下:
为切实保障肥城市城镇中等偏下收入住房困难家庭、新就业职工和外来务工人员的基本住房需求,按照《肥城市人民政府办公室关于调整规范公共租赁住房保障有关政策的通知》(肥政办字〔2020〕17号),经研究决定现启动2025年肥城市公共租赁住房分配工作,有关事项通知如下:
一、2025年公共租赁住房待分配房源:
1.瑞通花园24套,位置:肥城市老城街道办事处济兖路21号(房源情况详见附表1)。
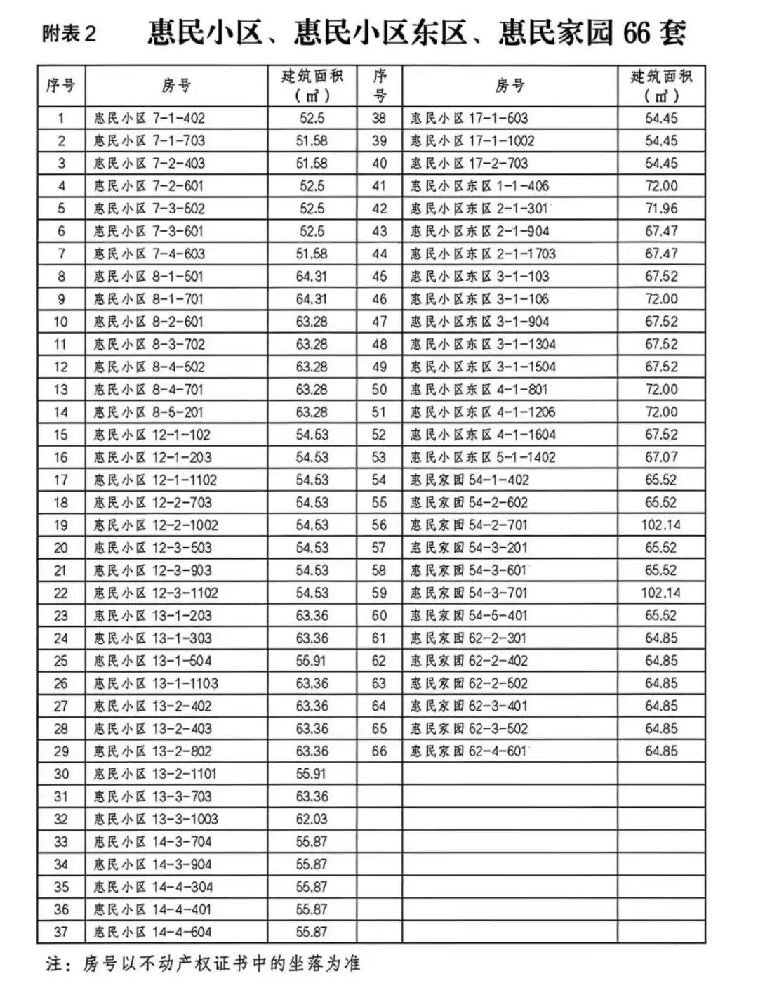
2.惠民小区、惠民小区东区53套,位置:肥城市新城工业二路以北市场监督管理局大楼以东(房源情况详见附表2)。
3.惠民家园13套,位置:肥城市新城街道办事处孙家小庄村(房源情况详见附表2)。
上述所有待分配房源实行集中统一分配。
二、申请公共租赁住房领表时间和领表地点、申请时间和申请地点:
1.领表时间:2025年11月5日至2025年12月4日。
领表方式:可到肥城市市民中心B区房产管理服务中心窗口领取或登录“肥城市人民政府”网站下载(网址:http://www.feicheng.gov.cn/)。
咨询电话:3222836 3216119 3237196
2.申请时间:2025年11月5日至 2025年12月11日。
申请地点:户籍(居住证)所在镇街区。
三、申请条件:
申请公共租赁住房需同时符合以下条件:
1.夫妻至少一方为肥城市城镇户籍的家庭(包括夫妻与未成年子女)及25岁以上单身家庭;肥城市城镇户籍毕业5年内在市区新就业职工;非肥城市户籍人员,持有肥城市居住证,且与驻市用人单位签订一年以上劳动合同,并连续缴纳一年以上城镇职工社会保险的外来务工人员。
2.申请家庭人均年收入低于42671元(2025年)。
3.家庭无住房或者自有住房人均建筑面积低于15平方米(含);新就业职工、外来务工人员在肥城无自有住房。(其中,自有住房包括:拥有合法产权的住房、宅基地住房、集体土地上住房;已办理预(现)售备案登记的住房;已签订拆迁安置协议但未回迁的住房;其他方式实际取得所有权的住房。)
4.申请人及申请家庭成员有以下情形的不得申请:
①拥有汽车的,单台价值高于12万元(含,按购买价格计算),或有两台(含)以上汽车,或拥有营运、工程等车辆。②在注册资金超过50万元的民营股份制有限公司(以企业注册登记为准,不按是否实际出资认定)中担任法人、董事、股东等职务。③名下存款、证券、住房公积金、汽车、股份及商业、生产、办公等非住宅用房(按购买价格计算)合计价值高于20万元(含)。④其他不得申请住房保障的情形。
四、公共租赁住房保障资格申请、审核程序:
1.提出申请:在申报期内申请家庭自愿填写肥城市保障性住房申请审批表(公共租赁住房)(申报窗口领取或政务网站下载)。申请家庭持肥城市保障性住房申请审批表(公共租赁住房)、户籍(居住证)、收入、住房、财产等相关资料到户籍(居住证)所在镇街区提出申请。
2.初步审查:各镇街区负责对申请家庭提交的申请资料进行初步审查,经审核符合申请条件的,将及时向社会公示,公示期7天。公示期内无异议或者异议不成立的,由镇街区在肥城市保障性住房申请审批表(公共租赁住房)上签署意见并加盖公章后,连同其他申报材料报送市民政局。
3.资格复核:民政局应该自收到申报材料之日起20日内,完成全部申请家庭及其成员经济状况核对和低保家庭的认定,并将认定结果填至肥城市保障性住房申请审批表(公共租赁住房)并加盖公章,同时将申报材料核对信息反馈至市住房城乡建设部门。
4.公示确认:市住房和城乡建设部门负责对申请人家庭保障资格情况进行审核,并将审核情况通过网站等渠道进行公示,公示期7天。经审核公示没有发现隐瞒情况或弄虚作假情形、无异议或经调查异议不成立的,市住房城乡建设部门依法认定为住房保障对象。在公示期结束后10个工作日内,及时将住房保障对象名单向社会公开。
五、申请需提交材料:
1.家庭成员身份证、结婚证、户口簿原件及复印件(家庭成员身份证、结婚证、户口簿每页要全部复印),无身份证或正在办理的需派出所出具的户籍证明;
2.退役士兵需提交退伍证原件及复印件(退伍证每页要全部复印);
3.申请家庭离异的需提交离婚证、离婚协议或判决书等材料的原件及复印件(离婚证、离婚协议或判决书每页要全部复印);
4.外来务工人员除提交上述材料外,还需提供肥城市居住证、与驻市用人单位签订的一年以上劳动合同、连续缴纳一年以上的城镇职工社会保险证明;
5.有车辆的提供购车发票和机动车行驶证(购车发票和机动车行驶证每页要全部复印);
6.低保、残疾、优抚对象等需提供证明材料(低保、残疾、优抚证明每页要全部复印);
7.肥城市保障性住房申请审批表(公共租赁住房);
8.其他应提交的材料。
申请需提交材料要提供原件及A4纸复印件一份。第7项《肥城市保障性住房申请审批表(公共租赁住房)》提供原件1份。
六、申报要求:
1.申请人及家庭成员要如实申报家庭收入、家庭成员基本情况、家庭财产和家庭自有住房情况,申请人及申请家庭隐瞒有关情况或者提供虚假材料申请公共租赁住房或以欺骗等不正当手段,登记为轮候对象或者承租公共租赁住房的,将按《公共租赁住房管理办法》(2012年5月住建部令第11号)第五章法律责任相关规定不予受理或予以清退公共租赁住房,清退后申请人及申请家庭在5年内不得再次提出住房保障申请。
2.申请人及家庭成员声明应在肥城市保障性住房申请审批表(公共租赁住房)声明签字(并按捺指纹),有民事行为能力的家庭成员应由本人签字按捺指纹,无民事行为能力的家庭成员应由监护人签字按捺指纹,无书写能力的家庭成员应采取按捺指纹的方式。
3.逾期或不按时申请的,视为自动放弃。
注意事项:2025年肥城市保障性住房申请审批表(公共租赁住房)可在政务网站下载打印,规格为A3纸正反面打印。
附表1 瑞通花园24套
附表2 惠民小区 惠民小区东区 惠民家园66套
肥城市房产管理服务中心
肥城市城市资产经营集团有限公司
2025年 11月5日
(肥城市人民政府网站)
(齐鲁晚报·齐鲁壹点客户端欢迎各界投稿,提供线索,包括文字、照片、短视频。泰安新闻素材请联系齐鲁晚报泰安融媒中心,热线电话:0538-6982110。)
责任编辑:赵晴
热门评论 我要评论 微信扫码
移动端评论
暂无评论